使用了Java中的BigDecimal来进行高精度计算,下面是代码:(Java党的福利qwq):
1 | import java.util.Scanner; |
使用了Java中的BigDecimal来进行高精度计算,下面是代码:(Java党的福利qwq):
1 | import java.util.Scanner; |
这是一道很考验数学素质的一道题目。但是作为一名优秀每天划水的OIer,这道题是不难的。来看我的分析:
因为数字很大,因此我们可以求以为底的对数:。
根据题意可以推算出最大值。
然后我们遍历所有可能的,根据上面推导出来的公式求的值,然后再利用和求出和输入的值进行比较,如果相等,说明和就是所求的值。做两个浮点数相等判断的时候,我们需要设置一个误差常量,具体大小要根据具体的题目来定。
完整的程序(c++11)如下:
1 |
|
在了解二叉树的定义之前,我们必须先掌握树的定义。
树(tree)是个结点的有限集。在任意的一棵非空树中:

例如,上图中的(a)就不是一棵树,因为它没有根结点。而(b)则是一棵只有一个根结点的树。©就是一棵比较复杂的树了——它具有个结点,其中是树根,其余的结点被分为三个互不相交的子集:。和都是根的子树,且本身也是一棵树。
在根的子树中,依然存在子树。这里不再详细说明根的子树的子树的情况……大家需要知道的是,一直被分下去的子树最终只会是一个结点——到那个时候,也就不再存在子树的子树了。我们把没有子树的结点叫做叶子结点。
二叉树(binary tree)是另外一种树型结构。二叉树也是树,只不过比较特殊——二叉树的每个结点至多只有两棵子树。(即二叉树中不存在度大于二的结点),并且,二叉树的子树有左右之分,其次序是不可以随意颠倒的。
二叉树有下面的五种基本形态:
树的相关术语也同样使用于二叉树。
树的结果定义是一个递归的定义,即在树的定义中又运用到了树的概念,这蕴含了树固有的特性。(注意,这点将为日后写关于树的程序提供递归的理论依据)。其实,除了我们常见的结点表示法,树还有很多其他的表示方法,这里介绍两种。
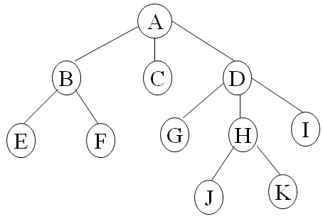
比如下面的这颗树:

用括号表示法表示出来即为:A(B(E,F),C,D(G,H(J,K),I))
可以看出,所谓括号表示法只不过是把所有的子树层次给表示出来罢了。
依然以上面的树为例,用维恩图表示法表示出来的树大概长这样:

同样也是对子树的层次的描述。
树的结点包含一个数据元素和若干个指向其子树的分支。结点拥有的子树数称为结点的度(degree)。

例如,在树©中,的度为,的度为,的度为。度为的结点称为叶子结点或终端节点(也有直接称其为“叶子”的)。在树©中,都是树的叶子结点。相应地,度不为的结点被称作是分支结点或非终端节点。除根结点外,分支结点也被称作是内部结点。树的度是树内各节点的度的最大值。树©的度为。结点的子树叫做该结点的孩子(child)或后代或子孙(有时也叫后继),相应地,该结点称为孩子的父亲(parent)或祖先(有时也叫前驱)。例如,在树©中,为的子树的根,则是的孩子,而则是的父亲。同一个父亲的孩子之间互称兄弟(sibling)。例如,在树©中,和互为兄弟。
结点的层次(level)从根结点定义起,根为第一层,根的孩子为第二层——若某结点在第层,则其子树的根就在第层。父亲在同一层的结点互为堂兄弟。例如,在树©中,和互为堂兄弟。树中结点的最大层称为树的深度(depth)或高度。树©的深度为。
如果将树中结点的各子树看成从左至右是有次序的(即不能互换位置),则称该树为有序树,否则称其为无序树。在有序树中,最左边的子树的根称为树的第一个孩子,最右边的子树的根称为树的最后一个孩子。
森林(forest)是棵互不相交的树的集合。对数中每个结点而言,其子树的集合即为森林。由此,也可以用森林和数相互递归的定义来描述树。
就逻辑结构而言,任何一棵树都是一个二元组,其中是数据元素,称作是树的根结点;是棵树的森林,,其中称作根的第棵子树;当时,在树根和其子树森林之间就存在着下列关系:
这个定义将有助于得到森林和树与二叉树之间转换的递归定义。
一棵深度为且有个结点的二叉树被称为满二叉树(也叫作完美二叉树)。例如下面的这棵树就是一棵满二叉树:

在满二叉树中的结点,要么是叶子结点(结点的度为 0),要么结点同时具有左右子树(结点的度为 2).
我们可以对满二叉树的结点进行连续编号,约定从根结点起,自上而下,自左至右。由此可以引出完全二叉树的定义。深度为的,有个结点的二叉树,当且仅当其每一个结点都与深度为的满二叉树一一对应时,称之为完全二叉树。完全二叉树除最后一层外的每层结点都完全填满,在最后一层上如果不是满的,则只缺少右边的若干结点。
什么意思呢?我们以下面的完全二叉树为例:

可以看到,完全二叉树的叶子结点分布在最后一层和倒数第二层。我们将完全二叉树的性质总结如下:
完全二叉树有许多重要的性质,将在下一节中介绍。
我们着重来讲一讲二叉树的性质。因为这方面是NOIP初赛的重点。
二叉树具有下列重要特性:
性质一 在二叉树的第层上至多有个结点
我们可以利用数学归纳法来证明此命题。
当时,只有一个根结点。显然,是正确的。
现在假设有一数,易得第层上至多有个结点。那么,可以证明时命题也成立。
由数学归纳法假设:第层上至多有个结点。由于二叉树的每个节点的度至多为二,故在第层上的最大结点数为第层的最大结点数的两倍。即。
性质二:深度为的二叉树至多有个结点。
由性质一可得,深度为的二叉树的最大结点数为:
性质三:对于任何一棵二叉树,如果其叶子结点的个数为,度为二的结点数为,那么
我们设为二叉树中度为一的结点数。因为二叉树中所有结点的度均小于或等于二,因此二叉树的结点总数为:
我们再来考虑二叉树中的分支数。除了根节点之外,其余的结点都有一个分支进入,设为分支总数,则。由于这些分支是度为一或二的结点射出的,所以又有。于是得:
结合上述方程组,得:
性质四:具有个结点的完全二叉树的深度为
请确保理解了上一节中对完全二叉树的相关定义。
假设完全二叉树的深度为,根据性质二和完全二叉树的定义有:
或
于是
因为
所以。
性质五:如果对一棵有个结点的完全二叉树的结点按层序遍历编号,则对任一结点,有:
对于上面的命题,这里不给出证明。但这不意味着它不重要。感兴趣的同学可以自行上网搜索。
在二叉树的一些应用当中,我们经常需要对结点进行访问。这就提出了一个遍历二叉树(traversing binary tree)的问题,即如何按某条搜索路径寻访树中的每一个结点,使得每个结点都被访问一次,而且只被访问一次。“访问”是一个很广的含义,可以是对结点进行某种处理,也可以是打印结点的值,甚至是释放结点所占的内存空间。遍历对于线性结构来说是非常容易的,用的暴力做法就可以解决。但遍历二叉树则是一个相对困难的过程——我们需要整理出一种规律,以便使二叉树上的结点可以排列在一个线性结构上,从而便于遍历。
回顾二叉树的递归定义,我们知道二叉树是由三个基本单位组成:根结点,左子树和右子树。因此,我们若是可以一次遍历这三部分,那么我们就可以遍历整棵二叉树了。伟大的计算机科学家们为我们创造了如下的遍历算法:先序遍历,中序遍历和后序遍历。
先序遍历的定义为:
若二叉树为空,则为空操作,否则:
中序遍历的定义为:
若二叉树为空,则为空操作,否则:
后序遍历的定义为:
若二叉树为空,则为空操作,否则:
请务必掌握上述的遍历算法
这里简单列举一例,不再赘述:
有兴趣的同学可以自行上网搜索相关资料。
OI(Olympiad in Informatics,信息学奥林匹克竞赛)是一门新鲜的竞赛学科。它和和物理、数学等竞赛性质相同。OI也是高考中唯一没有的竞赛学科(虽然我认为以后会加入)。那么问题来了,我们为什么要学习OI呢?
学习OI,在很大程度上不是为了开发产品,但事实上,开发产品的时候往往离不开OI中所涉及的算法。所以,如果想将来做软件业务的同学也需要学习OI。那么,到底什么是算法竞赛,什么是算法呢?
算法(Algorithm),是算法竞赛的核心。程序中充斥着算法,生活中充斥着算法,数学里也充斥着算法。我们用下面的例题来讲解一下算法的妙处。
给定一个正整数,求的值。
这道题,也许许多同学都会想到一个解法:暴力求解法。也就是,我把的值带入到函数之中,就可以得到结果。当然了,暴力求解法是最简单的算法,无论是人工手算还是电脑计算都很方便。但是,当时,手算是一时半会儿算不出结果的。于是,我们就需要更高级的算法。
通过对数学公式的推导。我们可以得到。这样,哪怕的值很大很大,我们都可以通过几步的乘除法运算即可求出答案。感兴趣的同学可以看一下平方和公式的推导过程:
前提条件:
设
看到了吧?这就是算法的伟大。这也给了我们一些启示:
具体衡量算法的优秀程度的知识会在后面详细讲解。大家现在需要知道的是,算法是有优劣之分的!
上面的那个例子,仅仅是对式子的恒等变形来优化常数。然而,在一般的算法设计中,我们还需要其他的算法设计策略。
当然,学习并积极地参加到OI中是有很大的好处的。我简单地列举几点:
OI虽然是是一门新起的奥林匹克事业,但是关于OI的国内外赛事是很多的。如果希望通过参加这些比赛来获得荣誉,了解这些比赛是非常有必要的。
NOIP(National Olympiad in Informatics in Provinces,全国青少年信息学奥林匹克联赛),旧称分区联赛,是一项由CCF(China Computer Federation,中国计算机学会)承办的全国统一的OI赛事。NOIP分初赛和复赛——初赛是地级市一级的,为笔试,复赛是省与直辖市一级的,为上机。初赛一般在每年十月中旬举行,而复赛一般在每年十一月举行。NOIP支持的语言有C语言,C++语言和Pascal语言(在2020年,NOIP将不再支持Pascal语言)。为了顺应时代发展的潮流,本套讲义将由C语言和C++语言作为程序描述语言。
NOIP分普及组和提高组。普及组的难度较低,面向广大的小学生和初中生;提高组的难度较高,面向广大的高中生。NOIP在初赛和复赛都设置了等级奖励制度,即一二三等奖颁奖制度。一般来说,进入复赛的资格就是初赛一等奖。不同的省的分数线一般都不一样,浙江江苏的分数线尤其高,因此浙江和江苏的OIer需要付出更大的努力才可以获得NOIP的成功。
**NOI(National Olympiad in Informatics,全国青少年信息学奥林匹克竞赛)**是NOIP的兄弟比赛,是一项由CCF(China Computer Federation,中国计算机学会)承办的全国统一的OI赛事。NOI是国内包括港澳在内的省级代表队最高水平的大赛,自1984年至2018年,在国内包括香港、澳门,已组织了33次竞赛活动。每年经各省选拔产生5名选手(其中至少有一名是女选手),由中国计算机学会在计算机普及较好的城市组织进行比赛。这一竞赛记个人成绩,同时记团体总分。
NOI期间,举办同步夏令营和NOI网上同步赛,给那些程序设计爱好者和高手提供机会。为增加竞赛的竞争性、对抗性和趣味性以及可视化,NOI组织进行团体对抗赛,团体对抗赛实质上是程序对抗赛,其成绩纳入总分计算。
NOI将从正式选手中选出成绩前50名,作为中国国家集训队,集训队队员将获得清华北大的保送资格。
其他比较著名的OI赛事还有APIO,CTSC,IOI等。感兴趣的同学可以自行上网搜索。
我们来稍微的了解一下什么是OJ(Online Judge)。OJ是很好的在线OI学习平台,它的中文名字叫做在线测评系统。OJ上面有许多信息竞赛的习题,我们通过做这些习题来提升自我——最后到达一种神犇的境界。我们主要使用下面的几个OJ:
我主要是想讲一些OJ上面的测评信息的含义:
| 类型 | 全写 | 含义 |
|---|---|---|
| AC | Accept | 程序通过,得到分数 |
| CE | Compile Error | 编译错误,失去全部分数 |
| PC | Partially Correct | 部分正确,没有分数 |
| WA | Wrong Answer | 答案错误,没有分数 |
| RE | Runtime Error | 运行时错误,没有分数 |
| TLE | Time Limit Exceeded | 超出时间限制,没有分数 |
| MLE | Memory Limit Exceeded | 超出内存限制,没有分数 |
| OLE | Output Limit Exceeded | 输出超过限制,没有分数 |
| UKE | Unknown Error | 出现未知错误,没有分数 |
关于OJ的信息还有很多,这里不再赘述。
本讲义由浙江巨硬科技有限公司旗下的巨硬教育撰写。由巨硬教育教研组全体成员参与编写。
copyright:本讲义的全部内容在 CC BY-SA 4.0-署名-相同方式共享 4.0协议之条款下提供,附加条款亦可能应用。
所谓输入输出,就是在控制台中输入输出。什么是控制台呢?看:

这就是一个控制台。也就是我们常说的命令提示符。一般的程序的输入输出都在这里完成。
我们从最简单的一个程序开始:Hello,World!
这道题目的唯一要求就是输出一行Hello,World!。为了让程序实现输出文本这个功能,我们需要用到下面的C语言输出语句:
1 | printf("Hello,World!"); |
但是,只有那么一条语句,程序是不可能通过编译的。完整的正确的程序如下:
1 |
|
上面的程序有很多大家暂时不理解的地方:我们暂时把这些当做是固定搭配来记忆,以后会详细解释。所以,我们总结出的C语言程序框架是:
1 |
|
我们把程序所要执行的语句写在return 0;和{之间——正像上面的程序一样。
暂时记不住程序结构也没关系,练习的次数多了,以后自然会记住的,不要着急。
现在你学会了C语言的输出语句了吗?如果答案是肯定的,那么恭喜你,你已经成为了一名程序员,并且已经教会电脑说话了!
什么是变量呢?变量就是指值的大小会改变的量。比如大家在玩游戏时人物的血量值——血量值是一直在更新的,不是恒定不变的,那么血量值就是变量。
我们也可以从数学函数的角度理解变量。如函数。其中的和就是变量。当然咯,有变量就会有常量。顾名思义,常量就是那些值一直不变的量。比如上述函数中的和。他们是不会变化的。
变量和常量的概念同样适合于C语言——或者说,它适用于所有的编程语言。
由于变量和常量里面存的是数值,所以我们就需要知道有哪些类型的数值:
在C语言中,同样有对应数值类型存储的变量(常量)的类型。如下表所示:
| 关键字 | 范围 |
|---|---|
int |
|
unsigned int |
|
unsigned short |
|
long |
|
unsigned long |
|
char |
|
unsigned char |
|
float |
|
double |
注:本表中所提供的精度范围只适用于位的计算机。
这张表格很重要。我希望你们都可以把他给记住。我们来详细地读一下这张表。里面出现了一个新词:关键字。什么是关键字呢?关键字(也叫关键词)是一个语言的重要组成部分——他们非常特殊,因为他们对于语言语法的描述有至关重要的作用!
我们来看一些变量的定义语法:
1 | int n; |
我们首先写出了一个关键字int。之后是一个空格,空格后边是一个标识符——变量的名字。那么标识符的命名有什么样的规则呢?
标识符,通俗地讲,就是名字。我在这里讲一下标识符的命名规则:标识符可以包含英语的26个字母的大小写,也可以包含十个阿拉伯数字(但是不能是标识符的开头),也可以包括下划线(_),标识符不能是关键字,也不能拥有除上述字符之外的任何字符!!!。
比如说,下面的这些标识符就是不合法的:
int9years@59hahaha第一个标识符错在哪里呢?标识符不能是关键字,而int是一个关键字。
第二个标识符错在哪里呢?标识符不可以以数字开头,而9是一个数字。
第三个标识符错在哪里呢?标识符不可以包含其他字符,而@是其他字符。
我再举几个合法的标识符的例子:
C_Programming_Languageyear2018Macrohard_第四个标识符是不是很出乎你的意料?
但是,我们通常有一套标识符的命名习惯:**标识符最好以小写字母开头,而不是其他。中间最好不要有阿拉伯数字(末尾可以),单词和单词中间最好以下划线分割——否则从第二个单词起,单词的首字母大写。**我举几个正确的例子:
hello_macrohardhelloMacrohardmacrohard365合理的遵守标识符的命名规则有助于让你的代码更加优美。
我们对于一个人是否是文盲的评判标准是什么?他是否正确地能读和写。现在,我们已经让计算机学会了写,是时候让它学会读了。
我们从一个最简单的程序开始:a+b问题
1 |
|
上面的程序出现了一个之前从来都没有涉及到的语句:scanf语句:
1 | scanf("%d%d",&a,&b); |
上述代码的意义就是:从控制台读入两个整数,分别存放在变量和中。也就是说,假如我在控制台里边输入:
1 | 1 2 |
那么变量和的值将会是和。懂了吗?读入整数的规则就是这样的。我把它总结一下,总结在这里:
1 | scanf("%d...",&?,&?,...&?); |
假设我们要输入个整数,变量的名字分别是。那么我们就可以这样输入:
1 | scanf("%d%d……%d",&a1,&a2,……,&an); |
注意:输入整数的提示符是%d。逗号后面变量名字前面的&符号是必须的。我举几个错误的例子:
1 | scanf("%D",&a); |
1 | scanf("%d",a); |
第一个输入语句错在提示符错误。输入整数的提示符应该是%d,而不是%D。C语言是区分大小写的。
第二个输入语句错在变量前面没有加&符号。目前,我们所写的一切scanf语句都是需要&的。&是取地址操作。
上面的程序中的printf语句也有了新的用法:
1 | printf("Hello,world!"); |
1 | printf("%d",a+b); |
看出区别了吗?第一个printf语句只拥有一个参数,而第二个拥有两个!不过,我们已经学习了scanf的用法,第二条printf语句的用法也是可以望文生义的。它的作用是:输出表达式的值。
所以,对于执行两个整数的加法运算,这个程序像是天衣无缝了。但是,现实生活中,相加的两个数往往是实数,如何实现对实数的输入输出呢?
在上一节中,我们了解到:C语言中的变量(常量)的数值类型包含整型和浮点型。我在这里补充一点:浮点型变量也是可以存储整数的。如果想要让我们的程序支持浮点加法运算,我们首先需要把变量和改成浮点型的:
1 | float a,b; |
没错,那么接下来我们尝试着修改scanf语句。在上文我讲过:%d是输入输出整数的提示符,那么自然也有给小数准备的提示符,他是%f。
那么我们就可以把scanf语句修改成这样:
1 | scanf("%f%f",&a,&b); |
下面的printf语句也是一样的改法,完整的程序如下:
1 |
|
程序运行效果如下所示:

结果没有任何问题。但是这个“请按任意键继续”出现在这里是不是有点难受?我们只需要在printf语句中做一个小小的变动即可:
1 | printf("%f\n",a+b); |
看到了吗?只需要加一个\n即可。在输出语句中,\n意味着输出一个回车。效果如下:

注意事项:在许多OJ中测评,有没有行尾回车都是无所谓的(也就是过滤多余的回车和空格)。但是也有一些严格的OJ,每一个空格和回车都会算的清清楚楚。所以,在做题的时候,输出一个行尾回车总是保险的。
现在你学会了输入语句了吗?恭喜你,现在你已经可以使用C语言进行简单的编程了!稍微总结一下提示符的用法:整数用%d,浮点数用%f。
空格是什么?在我们的日常交流当中,空格没有任何的意义。比如这句话:“我 喜欢 C 语言 编 程 。”虽然字与字之间有一些空格,但我们还是可以读懂的。C语言也大致如此:只要不在标识符内部出现空格,其他部分出现空格一般是无害的。比如下面的这个程序:
1 |
|
这个程序是完全正确的。可见,C语言编译器也和我们人一样,对空格不怎么敏感。
需要注意的是,TAB和回车的性质和空格相似,在此不再赘述。
什么是注释?我们来看一下注释的定义:
注释,是对书籍或文章的语汇、内容、背景、引文作介绍、评议的文字。为古书注释开始于先秦时期。中国古代分得较细,分别称之为注、释、传、笺、疏、章句等。包含的内容很广。诸凡字词音义、时间地点、人物事迹、典故出处、时代背景都是注释对象。有脚注、篇末注、夹注等形式。古籍注释列在正文之中,有双行夹注和夹注。现代书籍注释列于正文当页之下,称脚注,亦称本面注;列于文章之后或列于书籍之后者称篇末注。不管采用何种方式,全书注文的编排一般要求统一,以便于读者查考。注释在教科书中应用广泛,是学生学习的重要条件。
现代学术作品中的注释一般分内容解释和来源解释两种。前者多指对文章或书籍中某一部分词句作进一步说明,但为了防止冗杂而把它放在段落之外(文末或页边)。后者一般是为了保障原作者的著作权,注明某此语句、词语、观点的来源,以便读者的查证,另一方面也是为了尊重他人的知识产权和劳动。
那么注释在程序里面有什么用呢?很显然,注释的加入可以让人们充分的理解程序的意义。比如:
1 |
|
上面的程序使用了C语言的单行注释的语法。拥有详细注释的程序对于初学者(甚至是根本不懂C语言的人)来说是非常友好的。因为他们可以通过注释中的内容来猜测出程序的作用。
单行注释由//打头//后边就是注释的内容。需要注意的是,单行注释是不可以跨行的。比如下面的程序就不是合法的:
1 |
|
请记住这个规则,因为在很多编程语言当中,//都是单行注释的标志。
编译器对于任何的注释内容都是不会理会 。
跨行注释在C语言中的写法:
1 | /* |
我需要说明很重要的一点:**跨行注释是不可以嵌套的!**比如下面的程序就不是合法的:
1 |
|
我们知道,计算机的本职工作是做计算。那么在计算机中有哪一些常用的基本运算符呢?
在日常生活中,加减乘除运算应该是使用最频繁的运算了。C语言也提供了丰富的加减乘除运算的服务。符号表如下:
| 运算名称 | 表达符号 |
|---|---|
| 加法 | + |
| 减法 | - |
| 乘法 | * |
| 除法 | / |
需要说明的是:**运算在C语言中同样存在优先级的问题。且乘除法运算的优先级比加减法大。**对于运算,我们有下面的运算规则:
先算优先级大的运算,再算优先级小的运算。总体顺序都是从左到右的。
注意:**在C语言中处理加减乘除运算时,符号两边要是都是整数,那结果就是整数如果有一个浮点数,则结果将是浮点数。**所以,这个表达式在C语言中的结果是3。但是如果是表达式或,结果就为想一想,为什么?
当然,在C语言中,你也可以给运算加上括号,以此提升运算的优先级。需要说明的是:**C语言中只有小括号一种表示优先运算的括号!但是小括号也是可以嵌套的。**比如:,在C语言中,这个算式是正确的。它对应着数学中的这个算式:。
取模运算应该是大家从来都没有见过的。其实这个运算小学老师应该需要和大家讲——遗憾的是,取模运算一般在高等数学中才会学到。
我们先来观察一个算式:
还记得各个部分分别叫什么名字吗?是被除数,第一个是除数,第二个是商,是余数。我们的取模运算求的就是这个余数。比方说我们想要知道除以的余数,在数学中,我们这样表示:。在C语言中,我们这样表示:2018%365。%在C语言中就表达了取模运算的意思。
注意:取模运算的两个运算数一定要是int型的整型变量。
取模运算的优先级和乘除法同级。
我们现在已经掌握了printf和scanf的基本使用方法:包括输入输出整型或浮点型的变量值。事实上,C语言还提供了其他的输入输出函数。
puts函数的发明可谓是一个伟大的功绩。puts函数主要用于输出一个字符串——而不是输出变量的值。而且,puts函数输出字符串的时候自动输出一个回车。这些都不是重点,重点是:puts函数比printf快。
比如这个程序段:
1 | printf("Hello,Macrohard!\n"); |
就可以等价于:
1 | puts("Hello,Macrohard!"); |
如果大家在以后需要输出一个带回车的字符串,请使用puts来完成任务,毕竟这是一个优化的方法。
putchar是一个非常非常快速的输出函数。需要注意的是,putchar只能输出一个字符。使用方法如下:
1 | putchar('?');//?是你需要输出的字符 |
注意:C语言里面字符串需要用一对双引号配合表达,而单个字符则使用单引号。
这里需要解释一下什么是字符型变量。字符型变量就是存储一个字符(注意,本讲义中的字符均指西文字符,而不是中文或其他字符)。
实际上,我们在计算机中是无法直接表示出一个字符的。所以我们需要借助ASCLL码表来存储一个字符。现代计算机科学存储字符的思路很明确:将字符标号,然后使用这个编号来表示字符即可。事实上,这世界上所有的主流的码表都是这样设计的。我们来看一下ASCLL码表的编码规则:
| DEC(十进制) | HEX(十六进制) | CHAR(字符) | 转义字符 |
|---|---|---|---|
| 0 | 00 | NUL | \0 |
| 1 | 01 | SOH | |
| 2 | 02 | STX | |
| 3 | 03 | ETX | |
| 4 | 04 | EOT | |
| 5 | 05 | ENQ | |
| 6 | 06 | ACK | |
| 7 | 07 | BEL | \a |
| 8 | 08 | BS | \b |
| 9 | 09 | HT | \t |
| 10 | 0A | LF | \n |
| 11 | 0B | VT | \v |
| 12 | 0C | FF | \f |
| 13 | 0D | CR | \r |
| 14 | 0E | SO | |
| 15 | 0F | SI | |
| 16 | 10 | DLE | |
| 17 | 11 | DC1 | |
| 18 | 12 | DC2 | |
| 19 | 13 | DC3 | |
| 20 | 14 | DC4 | |
| 21 | 15 | NAK | |
| 22 | 16 | SYN | |
| 23 | 17 | ETB | |
| 24 | 18 | CAN | |
| 25 | 19 | EM | |
| 26 | 1A | SUB | |
| 27 | 1B | ESC | |
| 28 | 1C | FS | |
| 29 | 1D | GS | |
| 30 | 1E | RS | |
| 31 | 1F | US | |
| 32 | 20 | space空格 | |
| 33 | 21 | ! | |
| 34 | 22 | " | |
| 35 | 23 | # | |
| 36 | 24 | $ | |
| 37 | 25 | % | |
| 38 | 26 | & | |
| 39 | 27 | ’ | |
| 40 | 28 | ( | |
| 41 | 29 | ) | |
| 42 | 2A | * | |
| 43 | 2B | + | |
| 44 | 2C | , | |
| 45 | 2D | - | |
| 46 | 2E | . | |
| 47 | 2F | / | |
| 48~57 | 30~39 | 0~9 | |
| 58 | 3A | : | |
| 59 | 3B | ; | |
| 60 | 3C | < | |
| 61 | 3D | = | |
| 62 | 3E | > | |
| 63 | 3F | ? | |
| 64 | 40 | @ | |
| 65~90 | 41~5A | A~Z | |
| 91 | 5B | [ | |
| 92 | 5C | \ | `` |
| 93 | 5D | ] | |
| 94 | 5E | ^ | |
| 95 | 5F | _ | |
| 96 | 60 | ` | |
| 97~122 | 61~7A | a~z | |
| 123 | 7B | { | |
| 124 | 7C | | | |
| 125 | 7D | } | |
| 126 | 7E | ~ | |
| 127 | 7F | DEL |
注:第128~255号为扩展字符(不常用)。
上表中出现了一个新的名词:转义字符。什么是转义字符呢?转义字符可以轻松地表达那些不便表达的字符——比如我们之前学的\n。转义字符都由\打头。
我需要说明的是:在C语言内部,字符类型其实是以整数的形式存储的。也就是说,char其实也是一种整型类型。
讲完了字符变量,也就可以讲getchar了。getchar函数的工作就是从控制台读取一个字符。比如下面的代码段:
1 | printf("ASCALL码是:%d\n",getchar()); |
这个程序简单地讲述了一下getchar的用法。请牢记getchar的用法,这个函数在未来的程序编写中将由非常巨大的作用。
到目前为止,我们已经讲完了C语言最基础的一部分语法。通过对这些输入输出函数的合理利用,相信大家已经可以完成一些非常简单的程序了。